近日,雷竞技官方主页材料科学与工程学院梁思敏(博士研究生)、季洪梅(讲师)与李小武(通讯作者)在知名SCI期刊Journal of Materials Science & Technology上发表了题为“A high-strength and high-toughness nacreous structure in a deep-sea Nautilus shell: Critical role of platelet geometry and organic matrix”的文章。该文发现,与浅水贝壳相比,深海鹦鹉螺贝壳珍珠质可同时呈现出更高的强度与更好的韧性。其中,板片几何结构与有机质的完美耦合起着关键作用。本研究结果可为合成高性能的仿生复合材料提供有益的参考。

研究背景:
对工程结构材料同时拥有高强度和高韧性的要求是材料研究者一直探索的课题和追求的目标。但是,对于大多数人造材料而言,强度和韧性总是互斥的。与之相比,天然生物材料,如软体动物贝壳中的珍珠质结构,却可以通过调控复杂且精巧的微观结构,成功地实现这种特性的组合。尽管珍珠质结构的无机文石含量达到了95%以上,但其硬度却可以达到普通文石的2倍,断裂功甚至可以达到普通文石的3000倍。珍珠质比普通文石更强、更硬、更韧,因而受到广泛关注。
其中,鲍鱼壳和珍珠贝作为两种分布最广的含珍珠质层的软体动物贝壳,吸引了大量研究者的关注。但这两种贝壳都生活在深度为100米以下的海洋中。事实上,软体动物也广泛分布在黑暗寒冷的深海环境中。例如,头足纲中唯一具有外壳的鹦鹉螺,就生活在深度约为130 - 700 m的海沟中,通常被当作深海物种。为了能够在深海中生存,鹦鹉螺的外壳必须能够承受极大的压强差。据报道,鹦鹉螺外壳的最内层为珍珠质结构。所以,鹦鹉螺贝壳的珍珠质层一定是其有效的保护盔甲,能够防止整个外壳在深海特殊的高压环境中发生灾难性的破裂。因而,与浅海贝壳相比,深海贝壳珍珠质可能具有更独特的微观结构及优异的力学性能。
但到目前为止,对鹦鹉螺贝壳珍珠质微观结构与力学性能的研究却非常有限。目前,尚不清楚为什么鹦鹉螺贝壳能够承受极高的水压,以及深海与浅海,甚至浅水贝壳中珍珠质的微观结构、物相组成及力学性能之间存在哪些差异?因此,该文以深海鹦鹉螺贝壳与浅水褶纹冠蚌贝壳珍珠质为实验材料,以探究深海贝壳珍珠质的断裂机制,并解释其优异的抗压性能,从而为高性能仿生材料的设计提供有益的参考和指导。
研究结果:
通过对比两种生活于不同水深贝壳珍珠质的微观结构发现,鹦鹉螺贝壳和褶纹冠蚌贝壳中珍珠质的板片尺寸存在明显差异:深海鹦鹉螺贝壳珍珠质的板片长细比(等效直径/厚度)是浅水褶纹冠蚌贝壳的2.6倍;且在鹦鹉螺贝壳中,文石板片表面更为粗糙,可以观察到很多纳米微凸体以及矿物桥,而褶纹冠蚌贝壳的板片表面则较为平滑(图1a-c,e-g)。此外,鹦鹉螺贝壳珍珠质板片表面的网状有机质清晰可见,而褶纹冠蚌贝壳中却只能观察到纳米微凸体(图1c,g)。因而,尽管这两种贝壳的无机相组成均为文石碳酸钙(图1i),但是在有机质含量上,深海鹦鹉螺贝壳要明显高于浅水褶纹冠蚌贝壳(图1d,h)。

图1 鹦鹉螺贝壳(a-d)与褶纹冠蚌贝壳(e-h)的板片尺寸、板片表面形貌及TGA分析曲线;(g) 两种贝壳的XRD衍射分析结果;(h) 两种贝壳三点弯曲强度的Weibull统计结果
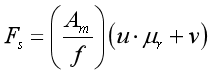
通过对比两种贝壳的弯曲强度与压痕韧性发现,深海鹦鹉螺贝壳较浅水褶纹冠蚌贝壳不仅弯曲强度提高了~42%,压痕韧性也可达到褶纹冠蚌贝壳的6倍(图1j和2a)。显然,深海贝壳的力学性能明显优于浅水贝壳,强度更高且韧性更好。由层状复合材料的拉伸-剪切链模型可知(σt = ρτs/2),这主要得益于其较大的板片长细比与界面剪切阻力(图2)。其中,界面剪切阻力主要来源于由于有机质黏连产生的粘滞力(Fs)与由于板片表面纳米微凸体的存在而导致的摩擦力(Fi)。
理论分析可以推得,
(1)
可见,粘滞力对有机质的分布面积(含量,Am)十分敏感。而摩擦力Fi则与纳米微凸体的分布密度(φ)和尺寸(R)呈正相关。
(2)
鹦鹉螺贝壳中珍珠质的有基质含量更高,板片表面纳米微凸体更大且更密,因而其界面阻力更大(图2c),弯曲强度更高。此外,板片表面纳米微凸体及有机质黏连均为珍珠质中重要的增韧机制。所以,鹦鹉螺更适合生活在深海高压的环境中。

图2 板片几何构型与有机质对珍珠质力学性能的关键作用
(a) 两种贝壳的力学性能;(b) 板片长细比;(c) 界面剪切阻力
值得注意的是,该文提出珍珠质的强度与失效模式也与板片长细比密切相关:强度随长细比的增加而增大,但板片长细比并不是越大越好,而是存在优化值(图2b);板片长细比越大,板片上应力集中越不明显。经计算,该两种贝壳的板片长细比均接近于优化值,而鹦鹉螺贝壳中板片长细比的值更大,因而有助于其获得更高的强度,且板片上的应力分布更为均匀。所以,鹦鹉螺贝壳具有更好的深海抗压性能。
综上,正是板片几何结构(表面形貌及长细比)与有机质的耦合作用,使得深海鹦鹉螺贝壳的珍珠质更强且更韧,从而更有利于其在深海中高压的环境中生存。因此,本研究结果希望为设计与合成高性能的仿珍珠质材料的板片几何结构与软相含量提供有益的参考。
论文信息与链接:
Liang, S.M., Ji, H.M., Li, X.W.* (2021): A High-strength and High-toughness Nacreous Structure in a Deep-sea Nautilus Shell: Critical Role of Platelet Geometry an Organic Matrix. Journal of Materials Science & Technology, 88, 189-202. (IF = 6.155, 中科院1区)
链接:
https://authors.elsevier.com/a/1coeR3aX7LJxRI

